- 硬脂酸鹽系列
- · 硬脂酸鋅
- · 硬脂酸鈣
- · 硬脂酸鎂
- · 硬脂酸鈉
- · 硬脂酸鉀
- · 硬脂酸鋰
- · 硬脂酸鋁(雙鋁)
- · 硬脂酸
- 微晶纖維素系列
- · 微晶纖維素 B型
- · 微晶纖維素PH-101
- · 微晶纖維素PH-102
- · 微晶纖維素PH-105
- · 微晶纖維素PH-103
- · 微晶纖維素PH-112
- · 微晶纖維素PH-113
- · 微晶纖維素PH-200
- · 微晶纖維素PH-301
- · 微晶纖維素PH-302
- · 微晶纖維素 食品級
- · 微晶纖維素PH802
- · 微晶纖維素PH1000
- · 微晶纖維素PH711
- · 微晶纖維素PH702
- 微晶纖維素膠系列
- · 微晶纖維素膠
- 油酸鹽系列
- · 油酸鈉
- · 油酸鉀
- · 油酸鋅
- 月桂酸鹽系列
- · 月桂酸鈉
- · 月桂酸鋅
- 豆蔻酸鹽系列
- · 豆蔻酸鎂
- · 豆蔻酸鈉
- · 豆蔻酸鉀
- 水性乳液系列
- · 水性硬脂酸鋅乳液
- · EBS乳液
- · 硬脂酸酰胺乳液
- · 水性硬脂酸鈣乳液
- 甘油鈣甘油鋅系列
- · 甘油鈣(堿式甘油鈣)
- · 甘油鈣(雙甘油鈣)
- · 甘油鋅
- 十二羥基硬脂酸鹽系列
- · 十二羥基硬脂酸鈣
- · 十二羥基硬脂酸鋅
- · 十二羥基硬脂酸鋰
- · 十二羥基硬脂酸鎂
- 對叔丁基苯甲酸鹽系列
- · 對叔丁基苯甲酸鋅
- · 對叔丁基苯甲酸鈉
- 纖維素系列
- · 木質纖維素
- · 粉狀纖維素
- · 疏水纖維素
- 硅化微晶纖維素系列
- · 微晶纖維素膠態二氧化硅共處理物(硅化微晶纖維素)
- 磷酸鹽系列
- · 磷酸氫鈣
詳細內容
藥用輔料系列-微晶纖維素PH-101
名稱:微晶纖維素PH-101
CAS NO.:9004-34-6
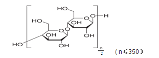
化學結構式:

主要用途:
微晶纖維素廣泛應用于藥物制劑,主要在口服片劑和膠囊中用作稀釋劑和粘合劑,不僅可用于濕法制粒也可用于干法直接壓片。還有一定的潤滑和崩解作用,在片劑制備中非常有用。
微晶纖維素PH-101,標準規格,適用于所有壓片方法的制片,特別適用于濕法制粒、旋轉壓片和制丸,具有良好的可壓性。
質量標準:《中國藥典》2020年版
|
檢驗項目 |
標準要求 |
|
性狀 |
白色或類白色粉末或顆粒狀粉末。本品在水、乙醇、乙醚、稀硫酸或5%氫氧化鈉溶液中幾乎不溶。 |
|
鑒別1:化學鑒別 |
應呈正反應 |
|
鑒別2:聚合度 |
≤350 |
|
酸堿度(pH值) |
5.0-7.5 |
|
氯化物,% |
≤0.03 |
|
水中溶解物,% |
≤0.2 |
|
醚中溶解物,% |
≤0.05 |
|
淀粉 |
應呈正反應 |
|
細度,% |
60目篩余≤1.0,200目篩余≤30.0 |
|
堆比重,g/mL |
0.26-0.31 |
|
電導率μS/cm |
≤75 |
|
干燥失重,% |
≤7.0 |
|
熾灼殘渣,% |
≤0.1 |
|
重金屬,% |
≤0.0010 |
|
砷鹽,% |
≤0.0002 |
|
需氧菌總數,cfu/g |
≤103 |
|
霉菌和酵母菌總數,cfu/g |
≤102 |
|
大腸埃希菌,g |
不得檢出 |
包裝:外用編織袋,內襯高壓聚乙烯薄膜袋,20公斤/袋,也可根據顧客協議包裝。
| 【上一個】 【下一個】 【返回】 |



浙公網安備 33050302000529號